畜牧業每年將生產240億噸廢水,廢水的排放導致水資源的嚴重富營養化。此外,集中飼養動物的大型農場需要大量使用激素和抗生素,對周圍的淡水生態系統等產生負面影響。比如,畜牧業廢水中的厭氧消化后的出水的主要特點包括1)氨氮濃度高(1000-2000 mg/L),2)抗生素種類繁多,且3)碳氮比(C/N<1)往往低于傳統活性污泥所需的營養比例(C/N >5)。因此,厭氧消化后的水不利于后續活性污泥法的反硝化過程的進行,從而導致總氮濃度偏高。另一方面,目前研究藻類處理法存在的問題包括:1)無法適應高氨氮以及多類型抗生素所帶來的毒性問題,2)藻類的收集也是目前比較關注的問題;3)其較長的生長周期和廢水處理時間勢必會大大增加大規模連續式反應系統的水利停留時間,從而影響整個水廠的建造和運營成本。
近日,由中國科學院深圳先進技術研究院合成生物學研究所的Howard H. Chou課題組,成都信息工程大學的張輝課題組以及美國克萊姆森大學的陳寰課題組在Bioresource Technology期刊發表重要研究成果"Two-stage continuous cultivation of microalgae overexpressing cytochrome P450 improves nitrogen and antibiotics removal from livestock and poultry wastewater"。
研究發現,一種小球藻(Chlorella vulgaris)通過定向進化可以適應在含有高氨氮和低碳氮比的畜牧業厭氧消化廢水中生長。并且本次研究采用了一種設計-建造-測試-學習(DBTL)相結合的研究模式優化了利用該菌株來處理廢水的連續工藝,以實現加速氨氮的去除和縮短水利停留時間(HRT)。與此同時,經過改造的菌株還有效地去除了廢水中的多種抗生素。該研究通過生理、化學、代謝物、轉錄組和遺傳分析,闡明了小球藻在廢水中生存的耐受性、氨氮去除和抗生素降解的機制。最終研究表明,在小球藻中過表達新鑒定的P450酶可以改善氨氮、有機氮和抗生素的降解。
這項研究為開發基于微藻的工藝以改善畜牧業中的氮和水循環提供了寶貴的見解。同時,在合成生物學和環境工程層面,該研究也為后續優化藻類污水處理技術提供了新的思路和發展方向。

文章上線截圖
清潔的水源和食物是人類健康和全球可持續發展相互關聯的重要資源。工業化養殖利用大量清潔水,同時產生大量廢水,對淡水供應造成負擔。據估計,畜牧業每年為了生產 560 億頭牲畜供消費會產生 240 億噸廢水,預計到 2050 年消費量將超過 1000 億頭牲畜 (Sepúlveda-Mu?oz et al.,2023)。為了滿足這種日益增長的需求,人們建立了大規模的集中飼養農場,需要大量使用激素和抗生素 (Vaishnav et al.,2023)。然而,廢水往往在未進行有效營養管理的情況下排放,導致全球 64-97% 的富營養化 (Silva-Gálvez et al.,2024)。抗生素在廢水中的積累及向環境的釋放可能會對抗生素耐藥性產生潛在的不利影響,加劇與耐藥病原體相關的現有問題 (Wang et al.,2021)。因此,畜牧業廢水管理不當會對周圍的淡水生態系統以及人類健康和安全產生負面影響。
傳統的畜牧業廢水處理過程采用兩步法。首先,利用厭氧消化來極大地降低化學需氧量 (COD)。然后,使用好氧活性污泥氧化去除剩余的營養物質。厭氧消化步驟至關重要,因為高 COD 會抑制污泥的生長 (Wang et al.,2016)。厭氧消化還有一個額外的好處,那就是以沼氣的形式創造綠色能源。在中國,每年通過加工牲畜糞便生產 145 億立方米沼氣 (Ran et al.,2021)。然而,厭氧消化后殘留的總氮(TN)較高,尤其是氨氮可高達 1000-2000 mg/L,使得厭氧消化出水中的碳氮比(COD/TN)較低,污泥沒有足夠的碳源進行生長,從而降低了第二步中活性污泥去除營養物質的能力 (Zhang et al.,2022)。基于微藻的處理工藝,其好處在于微藻獨特的生理和代謝途徑使得其可以通過固定 CO2合成有機碳源,從而生長在低 COD/TN的污水環境中。然而,微藻對于高氨氮和復合型抗生素廢水的適應能力較差,同時目前基于微藻的處理工藝需要較長的水力停留時間 (HRT),約為 8-12 天 (de Mendon?a et al.,2018),這限制了它們在商業工藝中的廣泛應用。為此,本研究旨在探索小球藻去除畜牧業厭氧廢水中的氮和抗生素的潛在機制。并通過設計-構建-測試-學習(DBTL)策略,將環境工程和合成生物學方法相結合,用以去除廢水中的氮和異類污染物以及縮短水力停留時間。
定向進化小球藻對畜牧業廢水的處理
利用定向進化技術,篩選到了新型小球藻(M5)能夠快速地去除廢水中的總氮(TN),氨氮(NH4-N)和總磷(TP)。在鴨場厭氧廢水中實現了 192 mg TN/L/d、177 mg NH4-N/L/d 和 2 mg TP/L/d 的去除率,在養豬場厭氧廢水中實現了 160 mg TN/L/d、125 mg NH4-N/L/d 和 6 mg TP/L/d 的去除率 (圖1a 和b)。與之前發表的研究相比,在TN含量高出 4 倍的情況下,M5對TN去除率仍舊高出 8 倍 (Wang et al.,2016)。同時,發現M5可有效去除鴨場廢水中的強力霉素、磺胺甲氧噠嗪、環丙沙星和磺胺嘧啶(圖 1c)。在豬場廢水中,也可有效去除磺胺甲氧噠嗪、磺胺二甲嘧啶、強力霉素、土霉素、磺胺間甲氧嘧啶、培氟沙星、金霉素和四環素(圖 1d)。




圖 1. 畜禽廢水的批量處理工藝。處理(a)鴨場和(b)豬場廢水時細胞密度、化學需氧量 (COD)、總氮(TN)、銨氮(NH4-N)、總有機氮(TON)和總磷(TP)濃度的變化。M5 處理后(c)鴨場和(d)豬場廢水中抗生素的去除率
連續反饋式處理系統的搭建
為了能夠讓 M5 投入商業應用,并且與傳統的活性污泥法的水力停留時間相匹配(HRT=4-6天),我們利用了 DBTL 策略來建立了一套新型兩級連續反饋式處理系統(CFP)。經過了長達兩個月的觀察,CFP工藝在水力停留時間為4天的情況下實現了穩定的污染物降解率,其中在鴨場廢水中的去除率為 334 mg TN/L/d、306 mg NH4-N/L/d 和 4 mg TP/L/d,在豬場廢水中的去除率為 213 mg TN/L/d、213 mg NH4-N/L/d 和 10 mg TP/L/d。即使在將系統總工作體積減少43% 后,使用CFP工藝的 NH4-N 去除率仍比搖瓶實驗高出 70%。另一方面,在對 CFP 系統中抗生素濃度的分析表明,林可霉素、恩諾沙星、磺胺甲氧噠嗪、螺旋霉素、磺胺嘧啶和泰樂菌素的去除效果均有所改善(圖 2f、g)。實驗數據證實了該套工藝已經可以和傳統的活性污泥法的處理效率不相上下了,甚至在總氮的處理方面比污泥法更勝一籌。




圖 2. 連續反饋工藝處理畜牧業廢水。(a)連續反饋系統示意圖。處理(b、c)鴨場厭氧消化廢水(DFWD)和(d、e)養豬場厭氧消化廢水(PWD)后,I 和 II 階段的細胞密度、化學需氧量(COD)、總氮(TN)、銨氮(NH4-N)和總磷(TP)濃度。從(f)DFWD 和(g)PWD 中抗生素去除率
新型P450酶用于畜牧業廢水處理
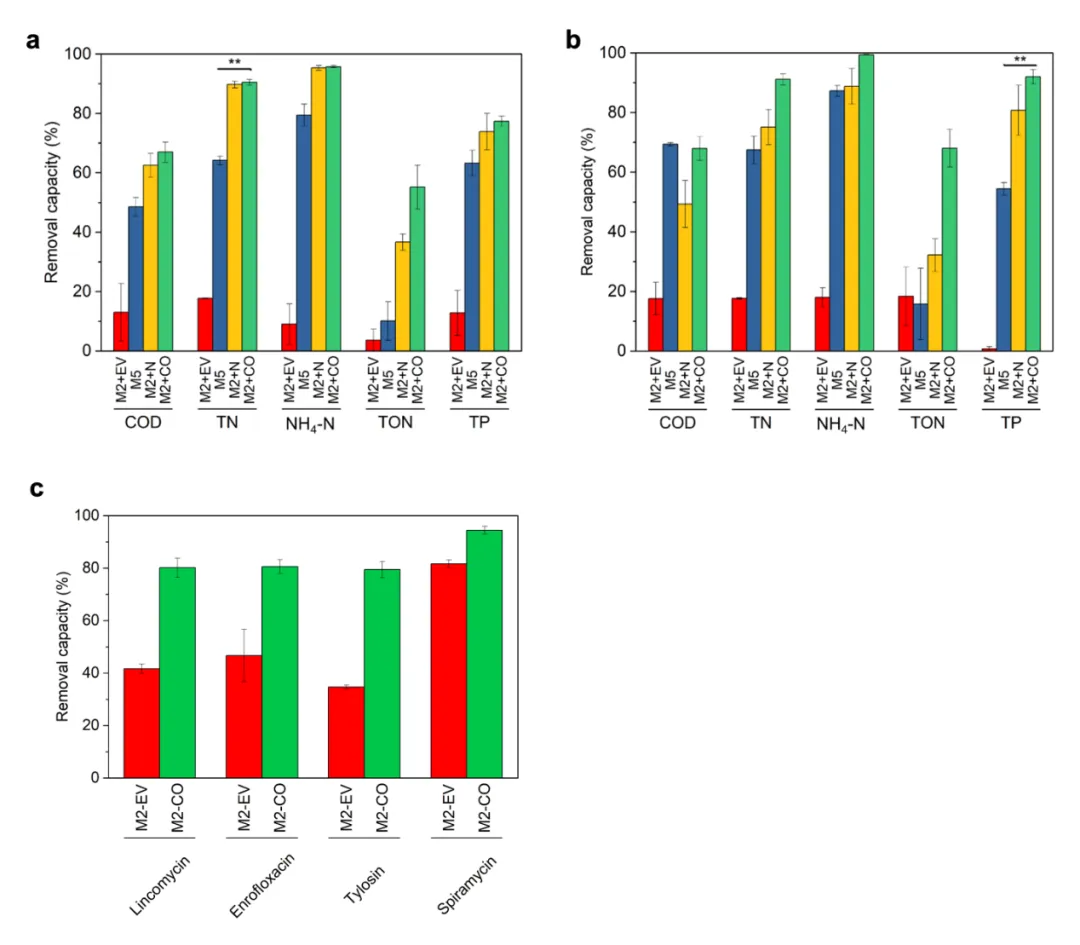
為了進一步探索 M5 降解廢水的潛在機理,我們通過轉錄組測序挖掘了高表達的 P450 酶,其中經過分析和比對,發現了一段完整的高表達 P450 酶的基因(A23292)。為了驗證這段基因的潛在功能,將其重新在未進化的原始小球藻(M2)細胞體內進行了過表達實驗。研究表明 A23292 過表達的小球藻細胞(M2+N)足以耐受畜牧業廢水中的抑制化合物。經過M2過表達密碼子優化的 A23292 處理后(M2+CO),鴨場和豬場廢水中的氨氮去除率分別提高了 11 倍和 5 倍(圖 3a、b)。因此,氨氮去除率的提高可能是由于 A23292 從廢水中去除了生長抑制化學物質,從而促進了更高的細胞生長,從而加速了氨氮的去除。在 A23292 過表達后,鴨場和豬場廢水中實現的 NH4-N 去除率分別為 470 mg NH4-N/L/d 和 240 mg NH4-N/L/d。另一方面,M2 過表達密碼子優化的 A23292 后,林可霉素、恩諾沙星和泰樂菌素的去除率分別提高了 60%、40% 和 130%(圖 3c)。這些增加表明A23292參與了這些抗生素的水解作用。
?
圖 3. 細胞色素 P450 對畜牧業廢水的解毒測試。通過 M2 與空載體對照(M2+EV)、M5、過表達天然 A23292 的 M2(M2+N)和過表達密碼子優化的 A23292 的 M2(M2+CO),去除(a)鴨場和(b)豬場廢水中的化學需氧量(COD)、總氮(TN)、銨氮(NH4-N)、總有機氮(TON)和總磷(TP)。(c)在 BG-11 中,通過過表達密碼子優化的 A2329 的 M2 抗生素(500 μg/L)去除率
本研究主要提供了兩種改進基于藻類的高氨氮畜牧業厭氧消化廢水的處理方法。一種方法是基于合成生物學改造,通過過表達密碼子優化后的 P450 酶來增強對有毒物質的解毒。另一種是基于 DBTL 策略,開發通過細胞回流步驟來增強細胞的毒性耐受性并保持細胞繁殖能力。這兩種方法已在實驗室規模上得到驗證,并且為以下學科領域和工程方面提供了一些新的思路和應用:1)通過蛋白質工程改進小球藻 P450 酶的活性;2)分析結構并探索 P450 酶在其他類型廢水中的潛在功能;3)可以研究基于藻類的 CFP 工藝與活性污泥工藝的結合進一步去除 COD 和 TN。
中國科學院深圳先進技術研究院的博士后肖睿為文章的第一作者,正高級工程師Howard H. Chou為文章的通訊作者。本研究得到了國家重點研發計劃、中國博士后科學基金以及深圳合成生物學創新研究院的支持。
參考文獻
Ran,C.,Zhou,X.,Yao,C.,Zhang,Y.,Kang,W.,Liu,X.,Herbert,C.,Xie,T. 2021. Swine digestate treatment by prior nitrogen-starved Chlorella vulgaris: The effect of over-compensation strategy on microalgal biomass production and nutrient removal. Science of The Total Environment,768,144462.
Sepúlveda-Mu?oz,C.A.,de Godos,I.,Mu?oz,R. 2023. Wastewater Treatment Using Photosynthetic Microorganisms. Symmetry,15(2),525.
Silva-Gálvez,A.L.,López-Sánchez,A.,Camargo-Valero,M.A.,Prosenc,F.,González-López,M.E.,Gradilla-Hernández,M.S. 2024. Strategies for livestock wastewater treatment and optimised nutrient recovery using microalgal-based technologies. Journal of Environmental Management,354,120258.
Vaishnav,S.,Saini,T.,Chauhan,A.,Gaur,G.K.,Tiwari,R.,Dutt,T.,Tarafdar,A. 2023. Livestock and poultry farm wastewater treatment and its valorization for generating value-added products: Recent updates and way forward. Bioresource Technology,382,129170.
Wang,M.,Yang,Y.,Chen,Z.,Chen,Y.,Wen,Y.,Chen,B. 2016. Removal of nutrients from undiluted anaerobically treated piggery wastewater by improved microalgae. Bioresource Technology,222,130-138.
Wang,X.-R.,Lian,X.-L.,Su,T.-T.,Long,T.-F.,Li,M.-Y.,Feng,X.-Y.,Sun,R.-Y.,Cui,Z.-H.,Tang,T.,Xia,J. 2021. Duck wastes as a potential reservoir of novel antibiotic resistance genes. Science of The Total Environment,771,144828.
Zhang,W.,Kong,T.,Xing,W.,Li,R.,Yang,T.,Yao,N.,Lv,D. 2022. Links between carbon/nitrogen ratio,synergy and microbial characteristics of long-term semi-continuous anaerobic co-digestion of food waste,cattle manure and corn straw. Bioresource Technology,343,126094.
附件下載:

